C언어로 쉽게 풀어쓴 자료구조를 읽으며 정리
Heap sort
힙 자료구조를 이용한 정렬 방법에는 두 가지가 존재한다.
- 정렬 대상인 데이터들을 힙에 넣었다가 꺼내는 방법
- 기존의 배열을 heapify를 거쳐 꺼내는 방법
[정렬 대상인 데이터들을 힙에 넣었다가 꺼내는 방법]
- 정렬해야 할 n개의 요소들로 힙을 초기화한다.
- 그다음으로 한 번에 하나씩 요소를 힙에서 꺼내 배열의 뒤부터 저장하면 된다.
- 시간 복잡도 : 요소의 개수가 n개이므로 전체적으로 O(nlog2n)의 시간이 걸린다.
- 공간 복잡도 : 추가적인 O(n) 만큼의 공간이 필요하다
// Heap 구현은 https://liam777.tistory.com/37 참고
extension Array where Element: Comparable {
mutating func sortByInsertToHeap() {
var maxHeap = Heap<Element>()
// 1
for element in self {
maxHeap.insert(element)
}
// 2
for i in stride(from: self.count - 1, through: 0, by: -1) {
if let element = maxHeap.pop() {
self[i] = element
}
}
}
}
var intArray = [3, 4, 2, 1, 6, 7, 9, 11]
intArray.sortByInsertToHeap()
print(intArray) // [1, 2, 3, 4, 6, 7, 9, 11]
[기존의 배열을 heapify를 거쳐 꺼내는 방법]
Heapify
- 두 개의 서브트리가 max-heap이라고 가정할 때 root에 추가된 노드를 포함한 전체가 heap을 만족하도록 각 노드들의 위치를 조정하는 과정이다.
- 앞서 살펴본 upheap과 downheap 모두 heapify라고 할 수 있다.
Build Heap
- 임의의 데이터 배열에서 Heap을 구성하는 것이다.
- 직관적으로 이해하기
- 힙을 구성하는 완전 이진트리는 그 성질에 의해 약 n/2개의 노드는 리프 노드에 존재한다.
- 따라서 downheap 연산으로 힙을 설계하는 것이 효율적일 것임을 추론할 수 있다.

- 리프 노드보다 한 단계 높은 레벨에서부터 차례대로 heapify(downheap)을 수행
- 한 개 노드를 heapify 하는데 필요한 시간은 O(logn)이고 n/2개 노드에 대해 수행하므로 전체적으로 O(nlogn)이 걸린다?
하지만 조금 더 생각해보자
- 위의 완전 이진트리에서 리프 노드의 레벨을 d라고 하면 레벨이 d인 노드의 수는 n/2이다.
- 그리고 레벨 d-1의 노드 수는 n/4이 된다.
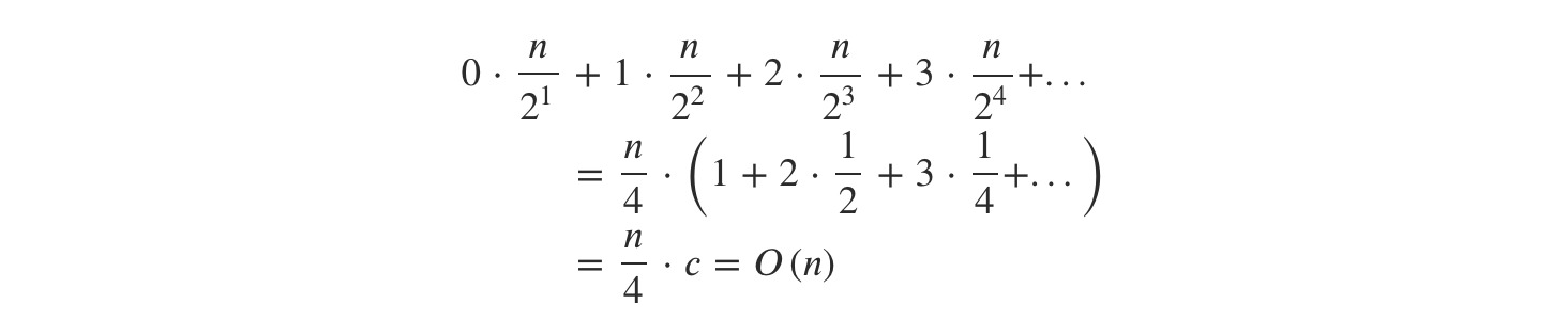
- build heap의 시간 복잡도는 수행 대상의 노드가 전체 트리에서 차지하는 높이, 그리고 수행 대상의 노드 수에 비례한다.
- 레벨 d-1인 노드에서의 서브트리는 그 높이가 1(= 리프 노드까지의 앳지 수)이다.
- 마찬가지로 d-2는 2, d-3은 3이 된다.
- 따라서 아래 계산 식에 의해 build heap의 시간 복잡도는 O(n)이 된다.

[Swift로 구현한 buildheap]
최초 힙 구성 시 배열의 중간부터 시작하면 위에 서술한 이진트리의 성질에 의해 모든 요소 값을 서로 한번씩 비교할 수 있다.
extension Array where Element: Comparable {
private mutating func buildheap() {
let mid = self.count - 1
for i in stride(from: mid, through: 0, by: -1) {
self.downheap(from: i, count: self.count)
}
}
private mutating func downheap(from index: Int, count: Int) {
guard index < count else { return }
var largestIndex = index
var leftIndex = self.leftIndexWhenHeap(from: index)
var rightIndex = self.rightIndexWhenHeap(from: index)
if leftIndex < count && self[leftIndex] > self[largestIndex] {
largestIndex = leftIndex
}
if rightIndex < count && self[rightIndex] > self[largestIndex] {
largestIndex = rightIndex
}
if largestIndex != index {
self.swapAt(largestIndex, index)
self.downheap(from: largestIndex, count: count)
}
}
private func leftIndexWhenHeap(from index: Int) -> Int {
return 2 * index
}
private func rightIndexWhenHeap(from index: Int) -> Int {
return 2 * index + 1
}
}
Heap Sort
- Build heap 단계
- 한번 힙이 구성되면 최상위 노드를 가장 마지막으로 보내고 마지막 인덱스를 제외하고 heapify를 다시 수행
[Swift로 구현한 heapSortByHeapify]
extension Array where Element: Comparable {
mutating func sortByHeapify() {
// 1
self.buildheap()
// 2
for i in stride(from: self.count - 1, through: 0, by: -1) {
self.swapAt(0, i)
self.downheap(from: 0, count: i)
}
}
private mutating func buildheap() {
let mid = self.count - 1
for i in stride(from: mid, through: 0, by: -1) {
self.downheap(from: i, count: self.count)
}
}
...
}
var intArray = [3, 4, 2, 1, 6, 7, 9, 11]
intArray.sortByHeapify()
print(intArray) // [1, 2, 3, 4, 6, 7, 9, 11]
- 시간 복잡도 : O(n) + O(nlogn) = O(nlogn)
- 최초로 최대 힙을 만드는 시간 복잡도 (build heap) : O(n)
- 힙이 구성된 상태에서 각 노드에 대해 heapify를 수행 : O(nlogn)
- 공간 복잡도 : 추가적인 공간 필요 없음
전체 구현 코드
import Foundation
struct Heap<Element: Comparable> {
private var _heap: [Element?] = []
private let rootIndex: Int = 1
private var lastIndex: Int { self._heap.count - 1 }
var hasElement: Bool { self.count != 0 }
var isEmpty: Bool { self.count == 0 }
var count: Int { max(0, self._heap.count - 1) }
mutating func insert(_ element: Element) {
guard self.hasElement else {
self._heap = [nil, element]
return
}
// Swift는 동적 배열이기 때문에 최악의 경우 시간 복잡도는 O(n)
// 항상 O(logn)의 성능을 원한다면 배열의 크기를 제한하면 되겠다.
self._heap.append(nil)
self.upheap(from: self.lastIndex, target: element)
}
private mutating func upheap(from index: Int, target: Element) {
var parentIndex = self.parentIndex(of: index)
guard index != self.rootIndex else {
self._heap[index] = target
return
}
guard let parent = self._heap[parentIndex],
target > parent else {
self._heap[index] = target
return
}
self._heap[index] = self._heap[parentIndex]
self.upheap(from: parentIndex, target: target)
}
mutating func pop() -> Element? {
guard self.hasElement else { return nil }
let result = self._heap[self.rootIndex]
if self.count == 1 {
self._heap = []
return result
}
self._heap[self.rootIndex] = self._heap.removeLast()
guard let target = self._heap[self.rootIndex] else {
self._heap = []
return result
}
self.downHeap(from: self.rootIndex, target: target)
return result
}
mutating func downHeap(from index: Int, target: Element) {
guard let (childIndex, child) = self.findLargerChild(from: index) else {
self._heap[index] = target
return
}
guard target < child else {
self._heap[index] = target
return
}
self._heap[index] = child
self.downHeap(from: childIndex, target: target)
}
private func findLargerChild(from index: Int) -> (Int, Element)? {
let leftChildIndex = self.leftChildIndex(of: index)
let rightChildIndex = self.rightChildIndex(of: index)
guard leftChildIndex <= self.lastIndex,
let left = self._heap[leftChildIndex] else {
return nil
}
if rightChildIndex <= self.lastIndex,
let right = self._heap[rightChildIndex],
left < right {
return (rightChildIndex, right)
} else {
return (leftChildIndex, left)
}
}
private func parentIndex(of index: Int) -> Int {
return index / 2
}
private func leftChildIndex(of index: Int) -> Int {
return index * 2
}
private func rightChildIndex(of index: Int) -> Int {
return index * 2 + 1
}
}
extension Array where Element: Comparable {
mutating func sortByInsertToHeap() {
var maxHeap = Heap<Element>()
// 1
for element in self {
maxHeap.insert(element)
}
// 2
for i in stride(from: self.count - 1, through: 0, by: -1) {
if let element = maxHeap.pop() {
self[i] = element
}
}
}
}
extension Array where Element: Comparable {
mutating func sortByHeapify() {
// 1
self.buildheap()
// 2
for i in stride(from: self.count - 1, through: 0, by: -1) {
self.swapAt(0, i)
self.downheap(from: 0, count: i)
}
}
private mutating func buildheap() {
let mid = self.count - 1
for i in stride(from: mid, through: 0, by: -1) {
self.downheap(from: i, count: self.count)
}
}
private mutating func downheap(from index: Int, count: Int) {
guard index < count else { return }
var largestIndex = index
var leftIndex = self.leftIndexWhenHeap(from: index)
var rightIndex = self.rightIndexWhenHeap(from: index)
if leftIndex < count && self[leftIndex] > self[largestIndex] {
largestIndex = leftIndex
}
if rightIndex < count && self[rightIndex] > self[largestIndex] {
largestIndex = rightIndex
}
if largestIndex != index {
self.swapAt(largestIndex, index)
self.downheap(from: largestIndex, count: count)
}
}
private func leftIndexWhenHeap(from index: Int) -> Int {
return 2 * index
}
private func rightIndexWhenHeap(from index: Int) -> Int {
return 2 * index + 1
}
}
참고
https://ratsgo.github.io/data%20structure&algorithm/2017/09/27/heapsort/
힙 정렬(Heap Sort) · ratsgo's blog
이번 글에서는 힙(heap)이라는 자료구조와 힙 정렬(Heap Sort) 알고리즘에 대해 살펴보도록 하겠습니다. 이 글은 고려대 김황남 교수님과 역시 같은 대학의 김선욱 교수님 강의와 위키피디아를 정리
ratsgo.github.io
'CS > 자료구조' 카테고리의 다른 글
| 자료구조 - Heap (1) 기본 (3) | 2024.09.02 |
|---|---|
| 자료구조 - 트리 (0) | 2024.08.24 |
| 자료구조 - 스택, 큐, 덱 (0) | 2024.08.17 |
| 자료 구조 - 배열, 연결 리스트 (1) | 2024.08.14 |
| 자료 구조 - 순환 (Recursion) (1) | 2024.08.12 |